公式や考え方をしっかりと覚えて、確実に得点していきたい単元だ。
等差数列や等比数列の一般項だけでなく、数列の和の計算についても紹介。
さらに、Σ(読み方は「シグマ」)の公式や計算方法、階差数列や漸化式の基本についても説明していく。
数列に関して基本をおさえられる記事になっているので、普段の勉強の一助にしてもらいたい。今回解説してくれるのは
スタディサプリ高校講座の数学講師 山内恵介先生
上位を目指す生徒のみならず、数学が苦手な生徒からの人気も高い数学講師。
数多くの数学アレルギー者の蘇生に成功。
緻密に計算された授業構成と熱意のある本気の授業で受講者の数学力を育てる。
厳しい授業の先にある達成感・感動を毎年数多くの生徒が体験!
著書に、『「カゲロウデイズ」で中学数学が面白いほどわかる本』、『「カゲロウデイズ」で中学数学が面白いほどわかる本[高校入試対策編]』、『ゼッタイわかる 中1数学』、『ゼッタイわかる 中2数学』、『ゼッタイわかる 中3数学』(以上、KADOKAWA)監修。数列って何? ~数列の公式を覚える前に~
数列と言われると公式や計算に目が行きがちである。
だが、身の回りのことがらで考えていくと、数列がより身近に感じられる。
ここでは数列の世界への導入として、日常の中で数列に関連する例をあげながら、紹介していこう。
学生が背の順で並んでいるところを描いたイラスト。
学校の体育の時間や朝礼で背の順に並んでいるという人もいるだろう。
そのときの様子をイメージしてもらいたい。
「前から順に、170cm、172cm、174cm、176cm、178cmの5人の生徒が並んでいる。」
5人の背の高さを表す数字だけに注目すると、順に「170、172、174、176、178」
このように数を1列に並べたものを数列という。
この数列は、おわかりのように規則性があるが、規則性が全くない数の並びも数列である。
規則性がない数列の場合は、すべての数を書いて表すしか方法がない。
上の例は5個の数だが、もし100個の数からなる数列の場合は100個の数を並べて表さなければならないのだ。
一方、規則性がある数列は、すべての数を書くことなくすべての数を表すことができる。
例えば、上の5個の教からなる数列は、初頃170 末頃178 項数5 の等差数列と表すことができる。
それぞれの用語は後ほど紹介する。
このまま、この規則性を保ったまま、合計15人が並んでいたら、前から15番目の人の身長は何㎝だろうか?
数列の知識を使えば、15人分の身長を書くことなく「198㎝」と答えることができるし、15個からなる数列全体を 初頃170 末頃178 項数15の等差数列と表すことができる。
これを表現するためには、規則性のある数列の数の増え方を理解し、それに応じて数列を数式で表すことが必要である。
以下では、規則性がある数列のうち、代表的なものを紹介していく。
数列の公式を丸暗記するだけでは、問題を解く際にどのように使ったらいいかわからないため、おすすめできない。
公式の証明の方法まで覚えておくと、公式を忘れてしまっても自分でその場で公式を求めることができるため、おすすめである。
さらに、「公式を使って問題を解きながら、使い方と使い時とセットで自然と覚えていく」ことをおすすめする。
理解した上で、1題でも多く数列の問題を解いていくことが肝心である。
頭と手を動かして、演習しながら公式を覚えていこう。
数列の代表例その1 ~等差数列と公式について~ここからは具体的な数列の問題の解き方や公式について解説していく。
まずは、「等差数列」について説明していこう。
等差数列は数列の代表例の1つなので、しっかりと学習しておきたい。
等差数列を理解する上で覚えるべき用語も紹介。
等差数列の一般項や和を求める公式を、証明も踏まえて紹介していこう。
等差数列で使われる用語の意味を覚えようまずは、数列で使われる用語について、説明していく。
<項(読み方:こう)>
項とは、数列の1つひとつの数字のことである。
例えば、3,7,11,15,19 …という数列においては、「3」「7」「11」「15」「19」のそれぞれの数字が項である。
(なお、数列の最後にある「…」は、規則性を保ったまま無限に項が続いていく、という意味)
さらに、最初の項から順に、第1項、第2項、第3項…といい、それぞれa1、a2、a3、…と表す。
この例だと、第1項は「3」、第2項は「7」、第3項は「11」であり、a1=3、a2=7、a3=11 と表す。
<初項(読み方:しょこう)>
初項とは、数列の第1項のことを言う。
<末項(読み方:まっこう)>
項の個数が有限である数列の、一番最後の項のことを末項とよぶ。
<一般項(第n項とも言う)>
3,7,11,15,19 …という数列において、第n項anは
an=4nー1
このようにnの式で表された第n項anを一般項という。
<項数(読み方:こうすう)>
nの個数が有限である数列において、項の個数を項数という。
例えば、1,2,3,4,5,6,7という数列は、全部で7個の数からなる数列なので、項数は7である。
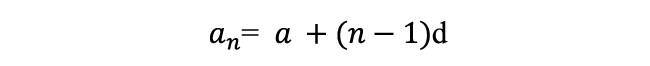
等差数列の一般項
数列3,7,11,15,19…は、ある項に4をたすと、次の項が得られる。
<公式の証明>
初項が3、公差が4 の等差数列で、例えば第4項の数が何かを知りたい場合、以下のように考えよう。
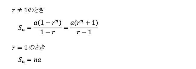
初項a、末項l、項数nの等差数列の和Snを求める公式は以下。
<公式の証明>
等差数列と同じく、数列の代表例である「等比数列」。
等比数列で使われる言葉の用語や一般項とその証明、等比数列の和を求める公式とその証明について解説していこう。
等比数列で使われる用語の意味を覚えよう等比数列で使われる用語について説明していこう。
なお、等差数列で使われていた用語も引き続き使われるので、確認してほしい。
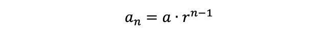
等比数列の一般項数列2,6,18,54,162…は、ある項に3をかけると次の項が得られる。
<公式の証明>
初項3、公比2の等比数列で、例えば第5項の数が何かを知りたい場合、以下のように考えよう。
等比数列の初項からある項までをすべて足し合わせる公式がある。
初項a、公比r、項数nの等比数列の和Snを求める公式は以下。
<公式の証明>
多くの問題を解いて、Σの公式の使い方や計算方法をマスターしていくようにしたい。
和の記号 Σ(シグマ)の意味を覚えようまずは、和の記号Σ(シグマ)について理解しよう。
<公式の証明>
また、公式⑤は等比数列の和の公式を用いて導かれる。
Σの計算を攻略するうえで、これらの公式をしっかりと暗記して使えることが最重要。
問題を解きながら確実に公式を暗記していこう。
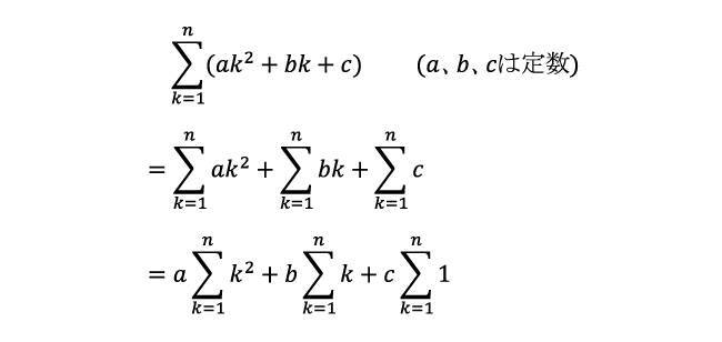
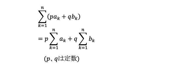
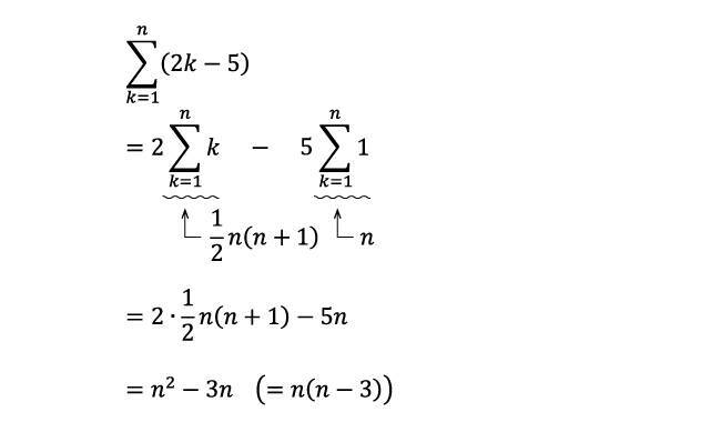
Σ(シグマ)の公式を使った計算のルールについてΣの公式と、以下Σの性質を用いて、和を求めることができる。
1つだけ例をあげておこう。
階差数列や漸化式を理解する上で重要なのは、等差数列や等比数列の考え方だ。
等差数列や等比数列の考え方や解き方が身についていないと答えを出すことができないので、気をつけよう。
階差数列とは階差数列とは、ある数列において隣り合う項どうしの差を並べた数列のことをいう。
例えば、1,4,8,13,19 …という数列で、それぞれ、4から1、8から4、13から8、19から13 を引いた答えで数列を作ると、3,4,5,6 …のようになる。これを階差数列という。
この2つの数列は以下のように表される。
階差数列を使って、数列の一般項を求める
具体的な漸化式の例として以下のようなものがある。
代表的な漸化式について
漸化式の代表例として、等差数列、等比数列を表す漸化式を紹介する。
どのような形の漸化式が等差数列や等比数列を表すのかしっかりと覚えておくようにしたい。
<等差数列の漸化式>
<等比数列の漸化式>
漸化式にはほかにもさまざまなパターンの問題があるが、まずは等差数列と等比数列の2つの漸化式の形とそこからの一般項の求め方をマスターしておくことが基本である。
ぜひ、さまざまな漸化式の問題にチャレンジしてもらいたい。
漸化式は数列の中でも頻出単元の1つであるので、ぜひともさまざまな漸化式の解き方をマスターしてほしい。
「等差数列・等比数列・Σなどの基本を身につけて数列を攻略せよ!」数の規則性の話から、等差数列や等比数列の話、Σの概念や公式、さらに階差数列や漸化式の話まで、数列の基本事項について説明してきた。
公式が多い単元に見えるが、しっかりと一つひとつの考え方を理解し、実際に問題を解く中で公式を使いながら覚えていくことが、数列攻略のポイント。
階差数列や漸化式から一般項を求めるためには基本となる等差数列や等比数列、Σの計算が確実にできることが求められる。
基礎や考え方をおろそかにすることなく日々の演習をこなしてほしい。
基礎、基本の先に数列の世界が広がっている。ぜひ、足を踏み入れてほしい。
構成・文/山内恵介、スタサプ編集部 監修/山内恵介 イラスト/てぶくろ星人
★教材付き&神授業動画でもっと詳しく!
![LDK (エル・ディー・ケー) 2024年10月号 [雑誌]](https://m.media-amazon.com/images/I/61-wQA+eveL._SL500_.jpg)
![Casa BRUTUS(カーサ ブルータス) 2024年 10月号[日本のBESTデザインホテル100]](https://m.media-amazon.com/images/I/31FtYkIUPEL._SL500_.jpg)
![LDK (エル・ディー・ケー) 2024年9月号 [雑誌]](https://m.media-amazon.com/images/I/51W6QgeZ2hL._SL500_.jpg)




![シービージャパン(CB JAPAN) ステンレスマグ [真空断熱 2層構造 460ml] + インナーカップ [食洗機対応 380ml] セット モカ ゴーマグカップセットM コンビニ コーヒーカップ CAFE GOMUG](https://m.media-amazon.com/images/I/31sVcj+-HCL._SL500_.jpg)



