「2022年こそ、キャリアを見つめなおし年収アップを目指す!」
そんな目標を立てている方も多いと思います。
さて、一般のビジネスパーソン、サラリーマン、サラリーウーマンの「年収」。
毎月の「給料・手当」と、勤務先の決算期末などのタイミングで支払われる「ボーナス(賞与)」をあわせて年間収入(年収)とするのが一般的な考え方でしょう。
では、その年収、どのくらいの金額をどのくらいの人が手にしているのでしょうか。
そして、私たちの年収は今後、上昇していく可能性はあるのでしょうか。過去から見てきて上昇してきたのでしょうか。
今回は、国税庁の開示資料をもとに、詳細を確認していきます。
【※参考記事】電通グループの給料はいくらか【2021年更新版】( https://limo.media/articles/-/26423 )
■「年収1500万円超~2000万円以下」は給与所得者の何パーセントか
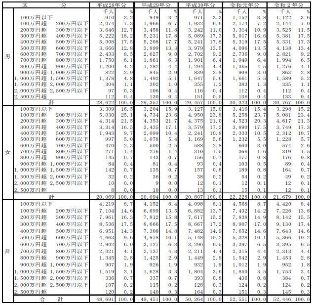
2021年9月に国税庁が公表した「令和2年分 民間給与実態調査統計」によると、2020年の給与所得者の総数は5244万6000人。
そのうち、年収1500万円超~2000万円以下の給与所得者の人数は384万人。これは全給与所得者のうちの0.7%に当たります。
また、全給与所得者の上位1.2%に含まれる年収レンジです。
出所:国税庁「令和2年分 民間給与実態調査統計」
■日本の給与所得者の平均年収は今後、上昇していくのか
最近では、岸田新政権下では「賃金アップ」が話題となっています。
今後、私たちの賃金は上がっていくのでしょうか。
国税庁の同資料によれば、日本の給与所得者の平均年収(平均給料・手当+平均賞与)は433万1000円です。
では、過去10年の推移についても目を向けてみましょう。
平成22年(2010年)に平均年収が412万円であったものが、令和2年(2020年)に433万円ですから、10年で21万円、つまり5%しか上昇していないことになります。
出所:国税庁「令和2年分 民間給与実態調査統計」
■まとめにかえて
ここまで、給与所得者全体における、一定の年収幅の比率についてみていきました。
今回取り上げた「年収1500万円超~2000万円以下」の人は、給与所得者全体の0.7%でした。
給与所得者全体の平均年収、そして過去の推移についても俯瞰しましたが、過去10年程度の時間軸では、残念ながら私たちの平均年収は大きく増えていないこともわかりました。
今後、政府の政策としてどのようなアクションが出てくるでしょうか。2022年は、ぜひ注目していきたいところです。
■参考資料
- 国税庁「令和2年分 民間給与実態調査統計」( https://www.nta.go.jp/publication/statistics/kokuzeicho/minkan2020/pdf/000.pdf )

![[のどぬ~るぬれマスク] 【Amazon.co.jp限定】 【まとめ買い】 昼夜兼用立体 ハーブ&ユーカリの香り 3セット×4個(おまけ付き)](https://m.media-amazon.com/images/I/51Q-T7qhTGL._SL500_.jpg)
![[のどぬ~るぬれマスク] 【Amazon.co.jp限定】 【まとめ買い】 就寝立体タイプ 無香料 3セット×4個(おまけ付き)](https://m.media-amazon.com/images/I/51pV-1+GeGL._SL500_.jpg)







![NHKラジオ ラジオビジネス英語 2024年 9月号 [雑誌] (NHKテキスト)](https://m.media-amazon.com/images/I/51Ku32P5LhL._SL500_.jpg)
