世界で3番目の経済大国である日本ですが、平均年収が30年前とほとんど変わっていないことはご存知でしょうか。OECD(経済協力開発機構)の調査によると日本の平均賃金の上昇率は1990年から2019年までの間で約+6%にとどまっています。
国税庁の「令和2年分 民間給与実態調査統計」によると、日本の給与所得者の平均年収(平均給料・手当+平均賞与)は433万1000円です。こちらも世界で見ると決して上位水準とはいえません。今回はそんな年収400万円台の人が全体の何パーセントなのかを見ながら、働き方やマネープランを探っていきたいと思います。
■年収400万円から500万円以下の給与所得者の割合
先程、現在日本の平均年収を述べさせていただきましたが、平均年収にあたる「年収400万円から500万円以下」の給与所得者の割合を見ていきたいと思います。
年収500万円以下が約7割
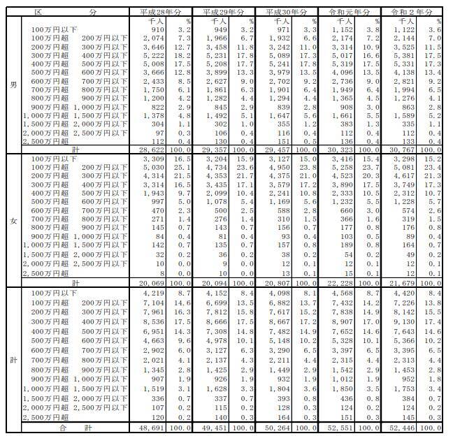
国税庁「令和2年分 民間給与実態調査統計」
令和2年の給与所得者は、全体で5244万6000人。このうち「年収400万円から500万円以下」の給与所得者は、764万3000人とあります。
つまり、全給与所得者のうち14.6%が「年収400万円から500万円以下」ということがわかります。「年収500万円以下」の範囲で見ると、69.7%となっており、約7割は年収が500万円を超えていないようです。
■これからの働き方を考える
日本の給与所得者の年収別構成比を見てきました。
皆さんは普段もらっているお給料の中で生活のやり繰りをされていると思いますが、「生活のしやすさ」という観点でいうとどのように感じているでしょうか。
1989年に消費税の導入がされ、当初3%だった税率も今や10%となっています。
このような現状を踏まえると年収アップのために働き方を考える時代かもしれません。
現在は働き方も多様化してきており、副業を良しとする企業や、定年が70歳という企業なども増えてきました。
また能力評価する企業も増えており、スキルや保有資格でも年収が大きく変わる時代です。自分の強みを最大限に活かし、活躍できる場を探してみることで年収アップは充分に狙えるでしょう。
■時代にあったマネープランを
賃金が30年変わらなくても、社会や経済状況は大きく変わりました。30年前は6%を超えていた時期もあった銀行の金利も、現在は0.001%程度です。当時のように銀行に入れておくだけでは、将来のお金の準備は難しい時代と言えるでしょう。
時代の流れは早いとよく言われますが、私達のマネープランも時代に合わせたものを選択していかなければなりません。そういう観点で見れば今は「お金にも働いてもらう時代」といえます。正しい知識を身につけて将来のマネープランをしっかりと築いていきましょう。
■参考資料
- OECD「主要統計 賃金データ( https://www.oecd.org/tokyo/statistics/average-wages-japanese-version.htm )」
- 国税庁「令和2年分 民間給与実態調査統計」( https://www.nta.go.jp/publication/statistics/kokuzeicho/minkan2020/pdf/000.pdf )
- 国税庁「平成9年分 民間給与実態調査統計」( https://www.nta.go.jp/publication/statistics/kokuzeicho/minkan/gaiyou/1997.htm )

![[のどぬ~るぬれマスク] 【Amazon.co.jp限定】 【まとめ買い】 昼夜兼用立体 ハーブ&ユーカリの香り 3セット×4個(おまけ付き)](https://m.media-amazon.com/images/I/51Q-T7qhTGL._SL500_.jpg)
![[のどぬ~るぬれマスク] 【Amazon.co.jp限定】 【まとめ買い】 就寝立体タイプ 無香料 3セット×4個(おまけ付き)](https://m.media-amazon.com/images/I/51pV-1+GeGL._SL500_.jpg)







![NHKラジオ ラジオビジネス英語 2024年 9月号 [雑誌] (NHKテキスト)](https://m.media-amazon.com/images/I/51Ku32P5LhL._SL500_.jpg)
