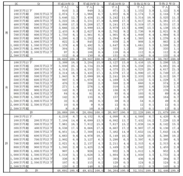
「「年収400万円」は令和の標準世帯? 全体の何割か。値上げに負けない家計づくり」の画像
前へ
3/3
本文へもどる
「「年収400万円」は令和の標準世帯? 全体の何割か。値上げに負けない家計づくり」の画像1 「「年収400万円」は令和の標準世帯? 全体の何割か。値上げに負けない家計づくり」の画像2 「「年収400万円」は令和の標準世帯? 全体の何割か。値上げに負けない家計づくり」の画像3