■値上げに苦しむ世帯は8割以上に
ここ最近は、食品を中心とした値上げが家計を圧迫しています。アイランド株式会社が20代~60代以上の男女521名に行った「食品の値上げに伴う消費についてのアンケート調査」によると、8割以上の方が「食品の値上げが家計に影響がある」と回答しました(2022年6月23日)。
物価が上昇するときには賃金の上昇がセットとなるものですが、残念ながら日本の平均年収は上昇する兆しが見られません。
「日本の経済は30年間成長していない」とも言われますが、実際にはどうなのでしょうか。本記事では、日本の平均年収について深掘りしていきます。
■日本の平均年収は400万円。全体の何割が当てはまるか
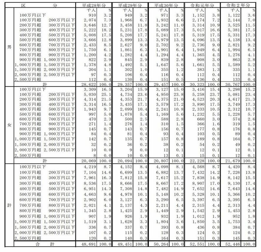
国税庁「民間給与実態調査統計」によると、令和2年の日本人の平均年収は433万円です。このことから、日本の平均年収は400万円だと言われることとなります。
出所:国税庁「民間給与実態調査統計」
平均である433万円を含む「年収400万円超500万円以下」のゾーンを見てみると、その割合は全体の14.6%です。
「年収400万円以下」の割合を見てみます。ここに属する人は55.1%となっていることから、全体の半分以上は年収400万円に満たないというのが日本人の給与水準なのです。
次に、国税庁が現在掲載している同資料の中で一番年次の古い「平成9年版」をつかって当時の年収水準と比較してみましょう。
■令和2年の平均年収
1年を通じて勤務した給与所得者総数…5245万人
平均年収(全体)…433万円
- 平均年収(男性)…532万円
- 平均年収(女性)…293万円
■平成9年の平均年収
1年を通じて勤務した給与所得者総数…4526万人
平均年収(全体)…467万円
- 平均年収(男性)…577万円
- 平均年収(女性)…279万円
給与所得者数自体は719万人増加しています。これは女性の社会進出や定年後の再雇用などが大きく影響しているのでしょう。
しかし、男女平均・全体平均のいずれもほとんど変わらない年収水準となっています。女性の社会進出とはいえ、実態はパート勤務が多いです。派遣という働き方も増えたことが、全体の平均年収を下げていると考えられます。
他の先進国が同じ期間に40~50%近い賃金上昇率をみせる中、日本はほとんど成長をしないまま、30年もの時を過ごしてしまったのです。
■年収は上がらないが「負担するお金」は増えた
この30年平均年収はほとんど上がっていませんが、一方で負担するお金は増えています。例を見ていきましょう。
- 〈消費税〉1989年に消費税が3%で導入→現在は10%(軽減税率8%)に増税
- 〈厚生年金の保険料率〉1990年代初め約14%→現在は18.3%に引き上げ
- 〈国民年金の保険料〉1990年に月8400円→現在は月1万6590円に引き上げ
- 〈健康保険料〉2008年に8.20%→現在は10%に引き上げ(協会けんぽ:全国平均)
消費税は大きなニュースになることも多く、日頃の買い物でも実感する項目です。
しかし給与天引きのお金は気にしない方もいるのではないでしょうか。
昇給しているのになぜか手取りがあがらない。そう感じている方は、引かれるお金がじわじわ上昇していたことに原因があるのかもしれません。
今後も雇用保険料の引き上げなどが控えており、ますます厳しく感じることでしょう。
児童手当や保育無償化など、この30年でもらえる手当が増えた事実はあります。
■時代を見据えたマネープランが必須
日本の平均年収はここ30年ほど増えていないにも関わらず、負担するお金は増える一方です。さらにここ最近の物価上昇に、家計を苦しめられる方は多いことでしょう。
「貯蓄を増やしたい」と考えるには、年収アップだけでは足りないものがあります。
手取りを増やすには上手な節税が不可欠であり、すでにiDeCoやふるさと納税などを活用している方も多いです。
節税という視点で見ると、つみたてNISAなどで資産を形成するのも効果的です。
銀行の預金にも税金がかかるものですが、つみたてNISAであれば運用で得た利益にかかる20.315%の税金は非課税となります。
ただし、こうした資産運用は元本割れというリスクがあるので、知識なしに始めることはできません。
自分のとれるリスクを客観的に知ることで、自分にあったマネープランを考えてみましょう。
■参考資料
- 国税庁「令和2年分 民間給与実態調査統計」( https://www.nta.go.jp/publication/statistics/kokuzeicho/minkan2020/pdf/000.pdf )
- 国税庁「平成9年分 税務統計から見た民間給与の実態 3-1. 平均給与」( https://www.nta.go.jp/publication/statistics/kokuzeicho/minkan1997/menu/03.htm )
- 全国健康保険協会「協会けんぽの保険料額表・保険料率の推移について」( https://www.kyoukaikenpo.or.jp/shibu/osaka/cat080/5517-93624/ )
- 日本年金機構「厚生年金保険料率の変遷」( https://www.nenkin.go.jp/service/kounen/hokenryo/ryogaku/20140710.files/20210319.pdf )
- 日本年金機構「国民年金保険料の変遷」( https://www.nenkin.go.jp/service/kokunen/hokenryo/20150331.html )
- アイランド株式会社「食品の値上げに伴う消費についてのアンケート調査」( https://prtimes.jp/main/html/rd/p/000000062.000001653.html )

![[のどぬ~るぬれマスク] 【Amazon.co.jp限定】 【まとめ買い】 昼夜兼用立体 ハーブ&ユーカリの香り 3セット×4個(おまけ付き)](https://m.media-amazon.com/images/I/51Q-T7qhTGL._SL500_.jpg)
![[のどぬ~るぬれマスク] 【Amazon.co.jp限定】 【まとめ買い】 就寝立体タイプ 無香料 3セット×4個(おまけ付き)](https://m.media-amazon.com/images/I/51pV-1+GeGL._SL500_.jpg)







![NHKラジオ ラジオビジネス英語 2024年 9月号 [雑誌] (NHKテキスト)](https://m.media-amazon.com/images/I/51Ku32P5LhL._SL500_.jpg)
