先端技術「CES」ベガスで開幕 「ヒューマノイド」や自動運転車
NY円、156円台前半
「戸塚駅前鈴木眼科」などを経営していた(医)メビア(神奈川)が弁護士一任
前福井知事の調査報告書要旨=セクハラを認定
トーセイ<8923>、運用管理するファンドを通じてサンケイリアルエステート投資法人<2972>をTOBで非公開化
イロモノみたいだけど4000台近くも売ったガチの水陸両用車! 日本でも5台が販売された「アンフィカー770」は水陸両用車に人生を捧げた男の傑作だった
倉庫大手の「三井倉庫ホールディングス」なぜM&Aは止まっているのか 量から質への戦略転換の背景は
『お金持ちの息子』の意外すぎる素顔…母子家庭育ち、イジメから引きこもりも
JPモルガン証券株式会社が株式会社レゾナック・ホールディングス<4004>株式の変更報告書を提出
旧型スポーツ車の補修強化 日産ホンダ、海外人気で
グロースパートナーズ株式会社が株式会社タカキュー<8166>株式の変更報告書を提出(保有減少)
東京ミネルヴァ法律事務所、破産の裏側…元武富士社員が支配か、法外な広告料の原資は?
名古屋を通らぬ「愛知ナナメ横断ルート」延伸近づく! まさに「トヨタのお膝元バイパス」 港から山まで貴重な一直線!?
「宝ホールディングス」のM&A戦略に変化の兆し 投資加速の先に見据える次の局面
ファミリーマート、北陸地方で「冷凍おむすび」を1月13日から販売 食品ロス削減と物流配送の効率化へ
栃木県宇都宮市にライフスタイルホテル「THE KNOT UTSUNOMIYA」が1月23日オープン レストランやベーカリーを併設
19億円を不正詐取した第一生命の89歳・元営業職員は、山口銀行の“女帝”だった
水産業界の老舗商社「ニチモウ」海外企業と加工会社を取り込む その戦略の狙いは
プーチンすら脅威と見なした…海外メディアが報じた「子どもを狂わせる米国発アプリ」ロブロックスの正体
【2026年】マルハニチロ、第一生命HD、サッポロHD…今年もこんなにあるよ!上場企業の社名変更
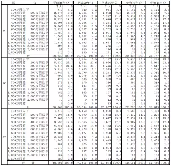
「2022年こそ、キャリアを見つめなおし年収アップを目指す!」そんな目標を立てている方も多いと思います。さて、一般のビジネスパーソン、サラリーマン、サラリーウーマンの「年収」。毎月の「給料・手当」と、...