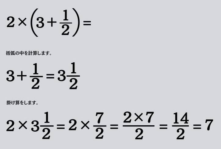
7
わかりましたか?
ぜひ他の問題にも挑戦して、脳を活性化させましょう!
【毎日更新】「クイズdeエキサイト」公式Twitter
【難読漢字】「宇柳貝」正しい読み方は?首都はモンテビデオです
【穴埋め熟語クイズ Vol.4434】□に漢字を入れて4つの熟語を完成させてください
【難読漢字】「兵刃」正しい読み方は?「兵刃を交える」などと使われます
【穴埋め熟語クイズ Vol.4507】□に漢字を入れて4つの熟語を完成させてください
【穴埋め熟語クイズ Vol.4491】□に漢字を入れて4つの熟語を完成させてください
【難読漢字】「凱風」正しい読み方は?南から吹くやわらかな風のことです
【穴埋め熟語クイズ Vol.4547】□に漢字を入れて4つの熟語を完成させてください
【角度当てクイズ Vol.2008】xの角度は何度?
【穴埋め熟語クイズ Vol.4530】□に漢字を入れて4つの熟語を完成させてください
【難読漢字】「犇犇」正しい読み方は?「犇と」「犇めく」の「犇」です
【難読漢字】「謦咳」正しい読み方は? コホン! 咳(せき)のことです
【難読漢字】「深更」「怨嗟」「乖く」読める?
【角度当てクイズ Vol.2180】xの角度は何度?
【穴埋め熟語クイズ Vol.4579】□に漢字を入れて4つの熟語を完成させてください
【難読漢字】「生魑魅」正しい読み方は?「生き霊」のことをこうも言います
【難読漢字】「什物」正しい読み方は?「汁物」じゃないですよ!
【難読漢字】「三鞭酒」正しい読み方は? どのお酒でしょうか?
【角度当てクイズ Vol.2012】xの角度は何度?
【穴埋め熟語クイズ Vol.4458】□に漢字を入れて4つの熟語を完成させてください
【角度当てクイズ Vol.2018】xの角度は何度?