人間である以上、どれだけ集中していても、誤字脱字をしてしまうことがありますよね。
テストの解答用紙や、仕事の書類など、大切な提出物でミスをしないよう、多くの人が書き終わってから何度も見直すでしょう。
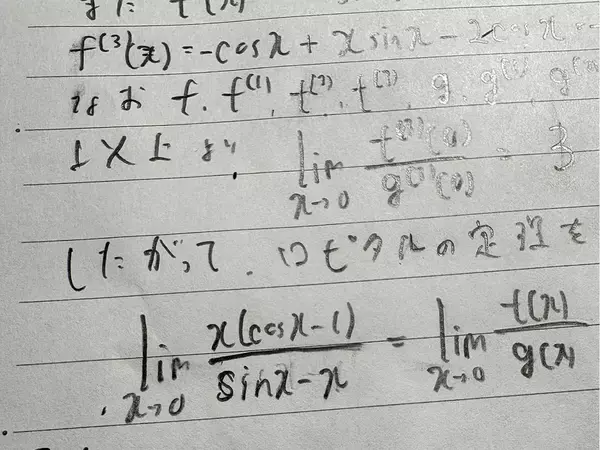
京都大学に在籍する、ふくよろ(@gesu_sakana)さんは、数学の問題を解いていた時、思わぬ脱字をしてしまったといいます。
とある公式の1文字を書き忘れた結果、「ヤバいやつになっていた」として、Xに写真を投稿しました。
12万人が『いいね』を押した、ふくよろさんの解答の一部をご覧ください。
オイラの公式…!
スイスの数学者、レオンハルト・オイラーによって発見された『オイラーの公式』を使うつもりが、伸ばし棒を書き忘れたことで、意味が激変。
『オイラ』という一人称になり、ふくよろさんが自分で発見した公式を使って、解答したようになっていました。
ふくよろさんの書き間違いには、このようなコメントが寄せられています。
・自分の手柄にしちゃったか。
・たまにその公式を使っているのですが、使用料は発生しますか?
・初めて数学関係のネタで笑いました。
・面白すぎる!自分でひねり出した公式を、無理やり使っているみたい。
一生懸命問題を解いていたのに、脱字によって人々の笑いを誘う結果になってしまった、ふくよろさん。
勉強を続けていれば、いつか本当に公式を発見する時が来るかも…しれませんね!
[文・構成/grape編集部]

![[のどぬ~るぬれマスク] 【Amazon.co.jp限定】 【まとめ買い】 昼夜兼用立体 ハーブ&ユーカリの香り 3セット×4個(おまけ付き)](https://m.media-amazon.com/images/I/51Q-T7qhTGL._SL500_.jpg)
![[のどぬ~るぬれマスク] 【Amazon.co.jp限定】 【まとめ買い】 就寝立体タイプ 無香料 3セット×4個(おまけ付き)](https://m.media-amazon.com/images/I/51pV-1+GeGL._SL500_.jpg)
![[コロンブス] キレイな状態をキープ 長時間撥水 アメダス 防水・防汚スプレー420mL](https://m.media-amazon.com/images/I/31RInZEF7ZL._SL500_.jpg)







![名探偵コナン 106 絵コンテカードセット付き特装版 ([特装版コミック])](https://m.media-amazon.com/images/I/01MKUOLsA5L._SL500_.gif)