企業44%「既に影響」=ナフサ供給不安で―生団連調査
UCC「おいしいカフェインレスコーヒー」刷新 コクをより引き出すため「じっくり焙煎」を進化
ホンダAI自動運転28年に延期 EVに採用からHV搭載に変更
ローム買収案「撤回を検討」 デンソー、賛同得られず
トヨタ世界販売、過去最高=ホンダ、日産など5社マイナス―昨年度
東京エレ子会社に罰金7億円 TSMC情報不正取得、台湾
868円高の6万0584円37銭=27日午前の平均株価
日本最強のエリート小学校・慶應幼稚舎の知られざる実像…学費1千万円、入試は紙のテストなし
3月の中東向け輸出は大幅減…トヨタの2025年度世界販売台数が2年ぶりに過去最高を更新 北米中心にHVが好調
株式会社イクヨが河西工業株式会社<7256>株式の変更報告書を提出(買い増し)
円相場、159円30~30銭=27日正午現在
ホンダ、AI自動運転導入を28年に延期
村田製作所、データ9万件流出 従業員や顧客の個人情報
株式会社 Blue lagoonがスターシーズ株式会社<3083>株式の変更報告書を提出(保有減少)
理系強化へ公立高専設置促進=人材育成の「改革ビジョン」案―文科省
円相場、159円57~58銭=27日午前9時現在
富士通が新AI研究拠点 「考える」から「現実世界で動く」AIへ
NTT、データセンター容量3倍に拡張=AI需要にらみ、都心など新設
デンソー、ロームへの株式取得提案巡る一部報道を否定 提案自体は事実
習近平の悲願を潰す「日本の切り札」になる…防衛費増額より中国が嫌がる「安保3文書改定」のインパクト
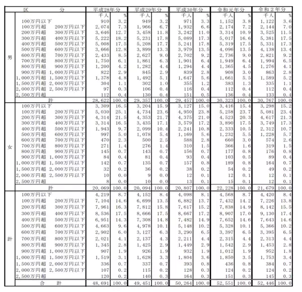
■年収600万円の仕事とは令和2年12月31日時点の給与所得者数は5928万人で、前年にくらべて62万人(1.0%)減少しています。また、令和2年中に民間企業で支払われた給与総額も前年より12兆399...