年収600万円と聞くと、どのような印象を受けられるでしょうか。
今の日本の平均給与は30年間足踏みしており、一向に上昇の気配がない中、日本経済団体連合会「2022年春季労使交渉・大手企業業種別妥結結果(加重平均)[最終集計]」によると、令和4年度の春闘では賃上げが2.27%となりました。
ただし、コロナ禍前の8200円には届いていないのが現状です。
このような中、年収600万円は何割の世帯が到達し、平均で貯蓄をいくら保有できているのでしょうか。
■平均給与はいくらなのか
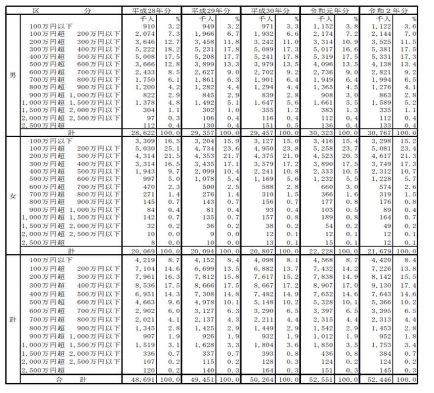
まずは国税庁の「令和2年分 民間給与実態統計調査」の「(第16表)給与階級別給与所得者数・構成比」から、男女を合わせた年収の分布を見ていきましょう。
出典:国税庁 「令和2年分 民間給与実態統計調査」
年収600万円台は6.5%であり、600万円以上となるのは全体のおよそ2割で、多いとは言えません。
さらに男女別に見ると、男性で約30%、女性では約6%の割合となります。
次に、平均給与を年齢別に確認します。
出典:国税庁 「令和2年分 民間給与実態統計調査」
男性の場合、年収が600万円超に届くのは45歳から59歳までとなっています。
一般的に管理職や役員などに昇進して、現役時代の最も年収が高い時にようやく到達できる給与水準だということが分かります。
一方、女性ではどの年代においても年収が600万円を超えません。ピークを迎えるのは45~49歳ですが、それでも平均給与は321万円。高い壁であることがわかります。
■平均年収600万円超の業種とは?
次に、年収600万円超を達成できる業種を具体的に見てみましょう。
転職サービスdodaがdodaエージェントサービスに登録している正社員20~65歳の男女(有効回答数約45万件)に2020年9月~2021年8月末に行った「平均年収ランキング(年代別・年齢別の年収情報)」を参考にします。
2021年の業種分類別の平均年収(全体)は、上から順番に以下のとおりです。
- 1位(同率)「金融」・「メーカー」(455万円)
- 3位 「総合商社」(434万円)
- 4位 「IT/通信」(433万円)
- 5位 「建設/プラント/不動産」(416万円)
年代別や男女別によって大きく差が出るため、平均値はあくまで参考値ですが、1位の金融やメーカーでさえ、平均年収が600万円に届くことはありませんでした。
では、一体年齢別や男女別を考慮せずに年収600万円を超えられる業種とはどのような業種なのでしょうか。
「金融」の中でもさらに細かく業種をピックアップすると、「投信/投資顧問」が平均年収662万円と「金融」の中でも最も平均年収が高い業種となっています。
男女別に見てみると、男性が702万円、女性が607万円となっており、女性であっても600万円超をクリアできる業種であることがわかります。
他に女性の平均給与が600万円超の職種は「投資銀行業務(643万円)」、「運用(ファンドマネージャー/ディーラー)(620万円)」、「リスクコンサルタント(670万円)」などがありました。
しかし、女性の場合、高い専門性のある職種でないと年収600万円を超えるのはまだまだ難しそうです。
■「年収600万円」だと手取りはいくら?
このようにハードルの高い年収600万円ですが、実際手元にいくら残るのでしょうか。
再び「令和2年分 民間給与実態統計調査」をもとに見てみましょう。
まずは年収600万円台の年齢や収入を確認します。
- 平均年齢46.6歳
- 平均勤続年数:17.7年
- 平均給与・手当:524万円
- 平均賞与:122万8000円
- 平均年収:646万8000円
こちらの条件からおおよその手取り額を計算したいと思います。
月の額面給与は43万6000円程度で、社会保険料や税金を引くと、およそ33万円となります。※控除額によって個人差あり
年収600万円の場合、月の手取りとしては33万円が目安なのですね。
■お金の増やし方とは
今回は年収600万円にスポットを当て、考察しました。中々給与の上昇も難しく、老後資金を給与だけで賄うのは難しいと感じる方もいらっしゃるのではないでしょうか。
そんな方は、自分自身で働くだけではなく、お金に働いてもらうのもいいかもしれません。
まずはぐっと身近になってきたつみたてNISAやiDeCoなどを検討するところから資産運用を検討してみて、自分自身に一番あった運用をみつけていただければと思います。
老後生活にゆとりを持てるように考えていきたいですね。
■参考資料
- 国税庁 「令和2年分 民間給与実態統計調査」( https://www.nta.go.jp/publication/statistics/kokuzeicho/minkan2020/pdf/002.pdf )
- Doda 「平均年収ランキング(96業種別の平均年収/生涯賃金)【最新版】」( https://doda.jp/guide/heikin/ )
- 日本経済団体連合会「2022年春季労使交渉・大手企業業種別妥結結果(加重平均)[最終集計]」( http://www.keidanren.or.jp/policy/2022/072.pdf )

![[のどぬ~るぬれマスク] 【Amazon.co.jp限定】 【まとめ買い】 昼夜兼用立体 ハーブ&ユーカリの香り 3セット×4個(おまけ付き)](https://m.media-amazon.com/images/I/51Q-T7qhTGL._SL500_.jpg)
![[のどぬ~るぬれマスク] 【Amazon.co.jp限定】 【まとめ買い】 就寝立体タイプ 無香料 3セット×4個(おまけ付き)](https://m.media-amazon.com/images/I/51pV-1+GeGL._SL500_.jpg)







![NHKラジオ ラジオビジネス英語 2024年 9月号 [雑誌] (NHKテキスト)](https://m.media-amazon.com/images/I/51Ku32P5LhL._SL500_.jpg)
