■年収アップとともに生活費のチェックを
年収600万円と聞くと、あなたはどんなイメージを持つでしょうか?年収600万円の手取りは約450万円。月で割ると37万5000円程の手取りとなります。
そこで今回は、年収600万円の人はどのくらいいるのか、また業界別の平均年収などもチェックしていきましょう。
■年収600万円はどのくらい?男女で差はあるか
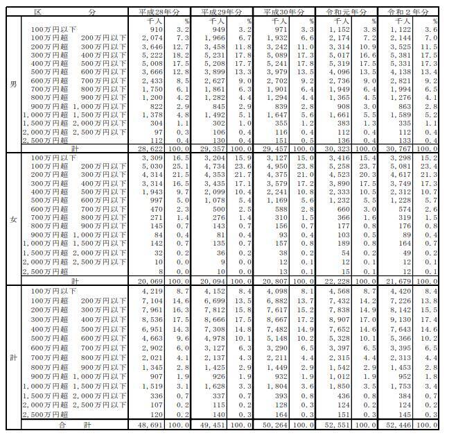
まず、男女を合わせた年収の分布をみていきます。国税庁の「令和2年分 民間給与実態統計調査」の「(第 16 表)給与階級別給与所得者数・構成比」より、具体的なデータを見ていきましょう。
出所:国税庁「令和2年分 民間給与実態統計調査」
年収600万円台は、全体で6.5%。また、年収600万円を超えるのは約2割となり、少数であることがわかります。
また、性別で見ると、男性は約30%、女性は約6%にとどまります。男女で年収には小さくない差がありますね。
■年収600万円以上の年代はある?年代別の平均給与を確認
次に、年齢別の平均給与もチェックします。
出所:国税庁「令和2年分 民間給与実態統計調査」
平均給与が600万円を超えるのは、男性で45~59歳となりました。一般的には、役員や管理職などに昇格して、現役時代の終盤でようやく到達する給与水準なのでしょう。
一方で、女性は600万円を超える年代はありません。最高で55~59歳の518万円となっていることがわかります。
■平均年収600万円を超える業界はあるか
次に、平均年収600万円を達成できる業種をチェックしていきます。
「転職サービスdoda」がdodaエージェントサービスに登録した正社員20~65歳の男女(有効回答数約45万件)に2020年9月~2021年8月末に行った「平均年収ランキング(年代別・年齢別の年収情報) 【最新版】」から見ていきます。
2021年の業種分類別の平均年収(全体)は上から順番に以下の通りです。
■年収600万円超はある?業界別の平均をチェック
- 同率1位「金融」・「メーカー」(455万円)
- 3位「総合商社」(434万円)
- 4位「IT/通信」(433万円)
- 5位「建設/プラント/不動産」(416万円)
年齢や男女によって年収は個人差があるので、上記はあくまで参考値になります。
1位の「金融」や「メーカー」でも平均年収は455万円となり、600万には届かない結果となりました。
では、年齢別や男女を考慮しない、全体の平均給与が600万円超である「業種」はあるのでしょうか。
そのなかでは、「投信/投資顧問」が平均年収662万円となり、「金融」の中で平均年収が最も高い業種となりました。
性別で見ても、男性702万円、女性607万円。女性も600万円を超える業種です。
さらに、女性で平均給与が600万円超の職種は、以下などが挙げられます。
- 投資銀行業務(643万円)
- 運用(ファンドマネージャー/ディーラー)(620万円)
- リスクコンサルタント(670万円)
専門性の高い職種なら、年収600万円を超えることができるようです。
■年収600万円の賞与や手取りはいくら
年収600万円の場合、手取りは実際いくらになるでしょうか。
再度、国税庁の「令和2年分 民間給与実態統計調査」を参考に見てみましょう。
■年収600万円台の年齢や収入
- 平均年齢:46.6歳
- 平均勤続年数:17.7年
- 平均給料・手当:524万円
- 平均賞与:122万8000円
- 平均給与(年収):646万8000円
平均年収は646万円程度となりました。月の額面給与は約43万6000円となります。
社会保険料や税金等を抜くと、個人差はあるものの月の手取りは33万円ほどになるでしょう。
■年収アップも狙いつつ生活費の点検を
今回は年収600万円の割合や職種にスポットを当てて、解説してきました。
女性の社会進出が進んでいる今日とはいえ、年収にはまだまだ男女差があるようです。今回のデータを見て、将来に不安を感じる人もいるでしょう。
年収アップも大事ですが、いきなり大きく増やすことは難しいもの。とはいえ人生100年時代、貯蓄はしっかりしておきたいところです。
まずは、生活費の中でカットできる部分がないか、点検してみましょう。もし、そうすることで資金に余裕ができたら、そのお金に働いてもらう「資産運用」という方法もあります。
とはいえ、運用にはリスクが伴うもの。
■参考資料
- 国税庁 「令和2年分 民間給与実態統計調査」( https://www.nta.go.jp/publication/statistics/kokuzeicho/minkan2020/pdf/000.pdf )
- Doda 「平均年収ランキング(96業種別の平均年収/生涯賃金)【最新版】」( https://doda.jp/guide/heikin/gyousyu/ )

![[のどぬ~るぬれマスク] 【Amazon.co.jp限定】 【まとめ買い】 昼夜兼用立体 ハーブ&ユーカリの香り 3セット×4個(おまけ付き)](https://m.media-amazon.com/images/I/51Q-T7qhTGL._SL500_.jpg)
![[のどぬ~るぬれマスク] 【Amazon.co.jp限定】 【まとめ買い】 就寝立体タイプ 無香料 3セット×4個(おまけ付き)](https://m.media-amazon.com/images/I/51pV-1+GeGL._SL500_.jpg)







![NHKラジオ ラジオビジネス英語 2024年 9月号 [雑誌] (NHKテキスト)](https://m.media-amazon.com/images/I/51Ku32P5LhL._SL500_.jpg)
