下半期のスタートである10月1日に向け、転職を考えている方もいるかも知れません。
国税庁の「令和2年(2020年)分 民間給与実態統計調査」によると、日本人の平均給与は433万円です。
自身の年収を考えるとき、平均と比べて高いか低いかを基準とする方もいます。
では、その貯蓄事情は年収ごとにどのような特徴があるのでしょうか。
今回は日本のいわゆる「ふつう世帯」である「年収400万円」にフォーカスをあて、その貯蓄事情を紐解いてみたいと思います。
■平均年収が400万円台なのは30年間変わらず
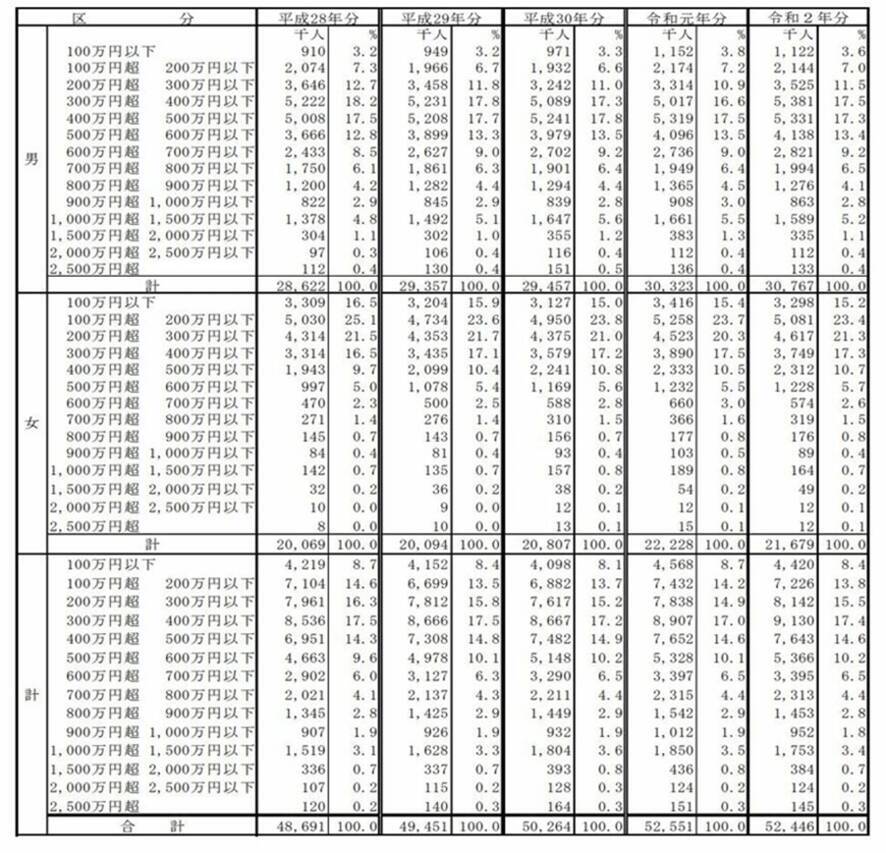
国税庁の資料では、日本の平均年収が433万円とされています。ただし「年収400万円以下」の割合を見てみます。ここに属する人は55.1%。半数以上が年収400万円に届いていません。
出典:国税庁「令和2年分 民間給与実態統計調査」(令和3年9月)
また国税庁の「平成9年分 民間給与実態統計調査」では、今から30年前である平成2年の平均年収を知ることができます。
同調査によると、平均年収は425万円でした。
30年経っても、日本の平均年収は400万円台を推移し続けているのです。
もちろん、この間に働く情勢は大きく変化しました。週休2日制が導入され、ライフワークバランスはとりやすくなったといえるでしょう。
一方で、1990年当時は3%だった消費税が現在は10%にまで増税。厚生年金など、天引きされる社会保険料もどんどん引き上げられています。
子どもがいる方は学費の値上げを実感していることでしょう。加えて、昨今の食品や光熱費の値上がりです。
働きやすい社会が築き上げられる一方で、賃金が抑えられたまま物価は上昇しているのです。
このような情勢の中、平均的な「年収400万円」世帯ではいくらぐらいの貯蓄を保有できているのでしょうか。
■年収400万円台世帯の「貯蓄事情」
総務省「家計調査報告(貯蓄・負債編)-2021年(令和3年)平均結果-(二人以上の世帯)」から、年収400万円台の世帯の貯蓄額を見ていきます。
※四捨五入の関係で、各項目の合計と「平均貯蓄額」は一致しない場合があります。
■年収400万~450万円(平均年収…426万円)の勤労世帯
平均貯蓄額:912万円
〈貯蓄の内訳〉
金融機関…897万円
- 通貨性預貯金:317万円
- 定期性預貯金:303万円
- 生命保険など:225万円
- 有価証券:52万円
金融機関外…15万円
■年収450万~500万円(平均年収…474万円)の勤労世帯
平均貯蓄額:784万円
〈貯蓄の内訳〉
金融機関…765万円
- 通貨性預貯金:277万円
- 定期性預貯金:237万円
- 生命保険など:157万円
- 有価証券:94万円
金融機関外…19万円
「年収400万円台」世帯の貯蓄額は1000万円のラインにあと少しで手が届きそうな金額となっています。
家族構成や居住地によっては、教育費や住居費などに家計を圧迫され、なかなか思うように貯蓄がはかどらないというご家庭もあるかもしれませんね。
一方で、貯蓄の内訳を見ると、いずれも約6割以上を預貯金が占めています。
貯蓄の様子はわかりましたが、無視できないのが「負債」の状況です。年収400万円台世帯では、住宅ローンなどの負債をいくらぐらい抱えているものなのでしょうか。
■年収400万円台世帯の「負債事情」
総務省の同調査から、今度は年収400万円台の世帯の負債額について確認します。
■年収400万~450万円世帯の負債
- 平均負債額・・・521万円
- うち「住宅・土地のための負債」・・・486万円
■年収450万~500万円世帯の負債
- 平均負債額・・・693万円
- うち「住宅・土地のための負債」・・・652万円
いずれも、「住宅・土地のための負債」が負債全体の9割以上を占めています。他にはカードローンやカーローン、奨学金の返済を抱える方もいるでしょう。
■年収400万円台世帯の本当の貯蓄「純貯蓄額」はいくら?
では、先述の「平均貯蓄額」から「負債額」を差し引いた金額=「純貯蓄額」はいくらなのでしょうか。それぞれの平均額を用いて算出してみましょう。
■年収400万~450万円世帯の純貯蓄額
- 912万円(貯蓄)-521万円(負債)=391万円
■年収450万~500万円世帯の純貯蓄額
- 784万円(貯蓄)-693万円(負債)=91万円
貯蓄額から負債額を差し引いた純貯蓄額は、「年収400万~450万円世帯」で391万円、「年収450万円~500万円世帯」で91万円です。
貯蓄1000万円からは遠ざかってしまいました。
貯蓄額、純貯蓄額ともに、年収400万円前半世帯のほうが高くなっている点にも注目しましょう。
ふたつの年収ゾーンの貯蓄額平均を単純に比較する限り、「年収が多いほどたくさん貯蓄できる」とは言い切れないようです。
■年収400万円台世帯の暮らしぶり
さいごに、総務省の調査における「年収400万円台」の世帯の家庭の状況についてみていきます。
■年収400万~450万円世帯「家族のすがた」
- 世帯主の平均年齢・・・50.7歳
- 世帯人数の平均・・・3.10人 (うち18歳未満の世帯人員・・・0.81人)
- 世帯主の配偶者のうち女性の有業率・・・39.1%
■年収450万~500万円世帯「家族のすがた」
- 世帯主の平均年齢・・・49.8歳
- 世帯人数の平均・・・3.18人 (うち18歳未満の世帯人員・・・0.85人)
- 世帯主の配偶者のうち女性の有業率・・・48.2%
世帯主は50歳前後で、これから大学進学を迎える子どもが1人いるかいないか、が平均的な家族のすがたとなっています。
同じような稼ぎでも、ライフスタイルや家族構成はそれぞれ異なりますよね。
お子さんが学齢期であれば教育費の準備が必要ですし、住む場所や共働きかどうかでも、家族のお金事情は当然変わってくるでしょう。
平均を軸に「我が家」を考えた場合、「子どもがいる分、貯蓄はもっと必要だ」「自分の年齢を考えれば、まずまず貯蓄できている方だ」など判断しやすくなるでしょう。
今回は年収400万円という、いわゆる「ふつうの世帯」のお金事情にフォーカスをあてましたが、平均を軸に考えることは、どのような年収の方にとっても参考の一つとなるでしょう。
■年収400万円「ふつうの家庭」ができる貯蓄技
今回は、年収400万円世帯の貯蓄事情をながめてきました。負債を抱える世帯が多いため、その支出を見直したいと考える方もいるかも知れません。
しかし、負債とは言ってもその多くが住宅ローンの返済のため、手元に資産が残るものという考え方もできるでしょう。
住宅ローンは必要な出費であることを踏まえると、他の有効な貯蓄手段を考えた方が賢明です。
先ほども触れたとおり、年収400万円台世帯の貯蓄は、その6割を預貯金が占めています。
こうした割合を参考にし、まずは「貯蓄方法の見直し」から行ってみるのもいいですね。
特に全財産を銀行に預けているという方は、なかなか貯蓄が進まないかもしれません。低金利かつインフレリスクがある銀行だけでなく、資産運用や保険への分散を考えてみましょう。
もし「投資に大きな金額をつぎ込むのは怖い…」といった理由で二の足を踏まれる方がいれば、少額から始められる「iDeCo(イデコ:個人型確定拠出年金)」や「つみたてNISA」などの制度を検討してもいいでしょう。
どんな方法にも必ずメリットとデメリットがあります。確実に貯蓄を進めるためにも、まずは情報収集から始めてみてはいかがでしょうか。
■参考資料
- 国税庁「令和2年分 民間給与実態統計調査」(令和3年9月)( https://www.nta.go.jp/publication/statistics/kokuzeicho/minkan/gaiyou/2019.htm#a-01 )
- 厚生労働省「2019年 国民生活基礎調査の概況 Ⅱ 各種世帯の所得等の状況」( https://www.mhlw.go.jp/toukei/saikin/hw/k-tyosa/k-tyosa19/dl/03.pdf )
- 総務省統計局「家計調査報告(貯蓄・負債編)-2021年(令和3年)平均結果-(二人以上の世帯)」第8-2表( https://www.stat.go.jp/data/sav/sokuhou/nen/index.html )

![[のどぬ~るぬれマスク] 【Amazon.co.jp限定】 【まとめ買い】 昼夜兼用立体 ハーブ&ユーカリの香り 3セット×4個(おまけ付き)](https://m.media-amazon.com/images/I/51Q-T7qhTGL._SL500_.jpg)
![[のどぬ~るぬれマスク] 【Amazon.co.jp限定】 【まとめ買い】 就寝立体タイプ 無香料 3セット×4個(おまけ付き)](https://m.media-amazon.com/images/I/51pV-1+GeGL._SL500_.jpg)







![NHKラジオ ラジオビジネス英語 2024年 9月号 [雑誌] (NHKテキスト)](https://m.media-amazon.com/images/I/51Ku32P5LhL._SL500_.jpg)
